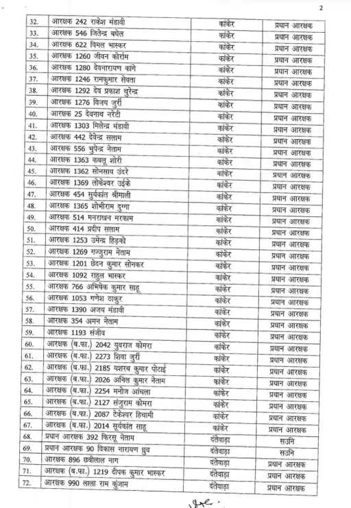
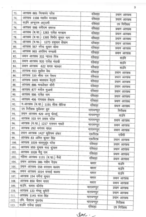
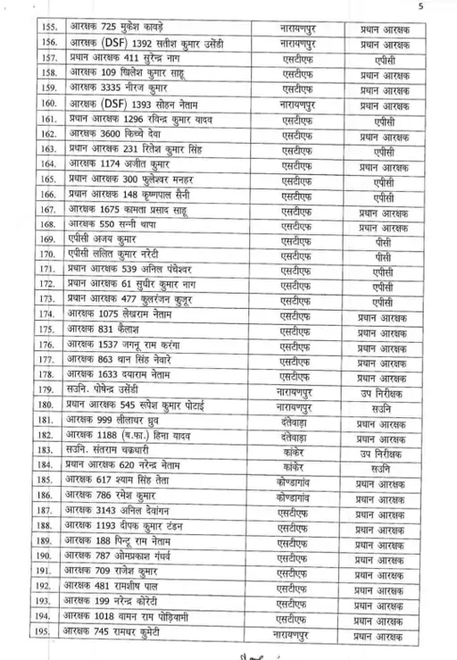
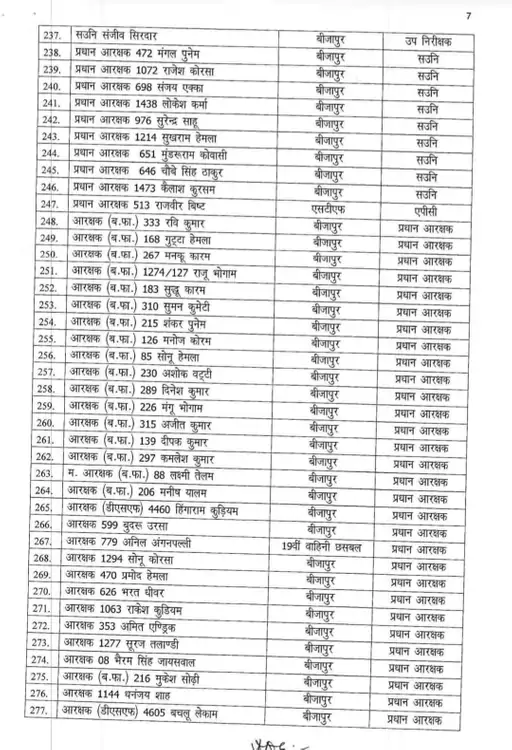
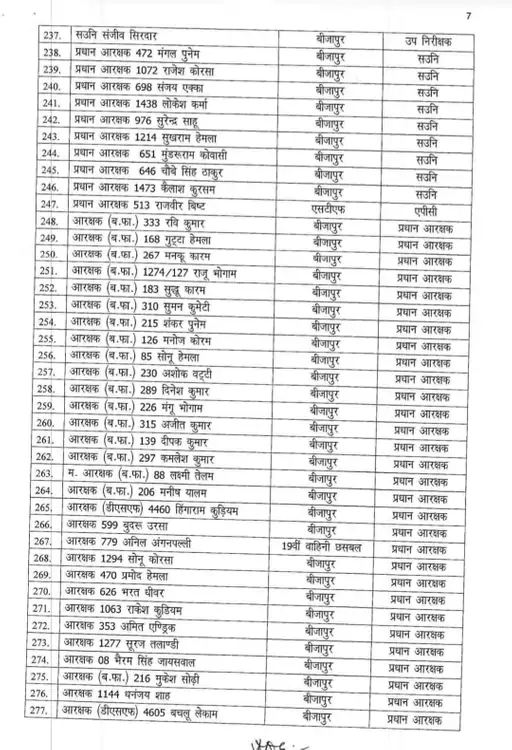
CG NEWS: छत्तीसगढ़ के नक्सल प्रभावित इलाकों में हमारे छत्तीसगढ़ के जवानों ने बहादुरी की लड़ाई लड़ी और कई खूंखार नक्सलियों को मार गिराए. बस्तर के घने जंगलों में नक्सलियों को मार गिराने वाले जवानों का प्रमोशन हो गया हैं. प्रदेश के नक्सल प्रभावित इलाकों के अलग-अलग जिलों में पदस्थ 295 सिपाहियों, हवलदारों, एएसआई और सब इंस्पेक्टरों को आउट ऑफ टर्म प्रमोट किया गया है.
डीजीपी अरुणदेव गौतम ने इसे लेकर आदेश जारी किया है.आदेश में इस बात का भी जिक्र है कि नक्सल ऑपरेशंस में बहादुरी दिखाने वाले जवानों को यह प्रमोशन दिया जा रहा है। इसके तहत हवलदार ASI बना दिए गए हैं, कुछ को सब इंस्पेक्टर और इंस्पेक्टर की पोस्ट भी दी गई है. 







